Symbolab计算器是一款非常专业的手机计算工具,通过Symbolab计算器能够快捷的计算各种微积分,还支持各种图形计算,有需要的可以下载试试。
科学计算器对比
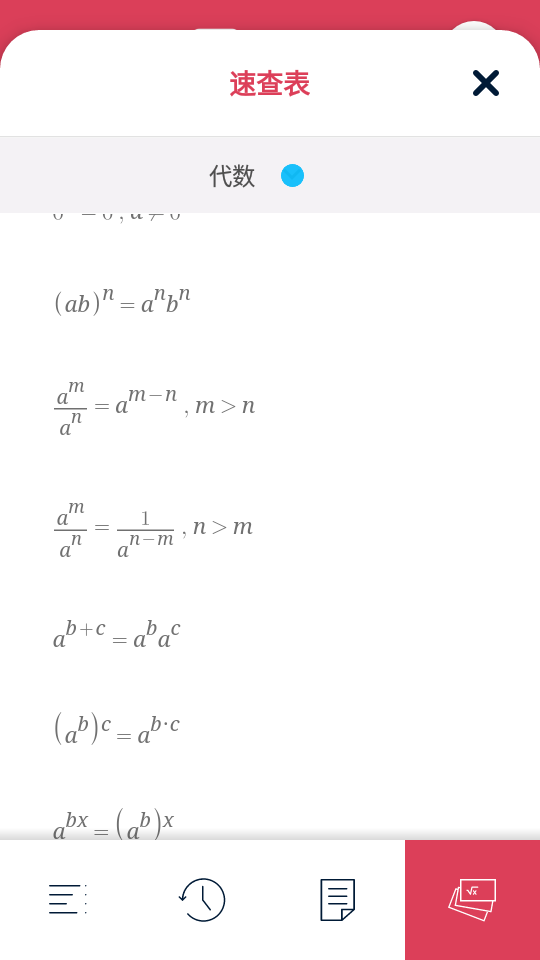
symbolab强大的计算器能够帮你解决微积分、三角和代数问题一步一步,包括积分,导数、极限、级数,方程、不等式、三角恒等式、函数等等。
万能科学计算器,小自标准计算器,大到科学计算器、函数计算器,泛至单位换算、大写转换、历史记录等多样功能,且诸葛计算器体积小巧,运行流畅。恼人的算术计算问题,弹指间即刻解决。
symbolab怎么输入矩阵
1、首先我们点击左上角的更多功能。
更新日志
新的代数键盘
从手机中扫描照片
错误修复和增强






