首先在word文档中依次点击插入—对象,以打开MathType数学公式编辑对话框。
然后点击“编辑”栏目下的“打开数学输入面板”选项,红框所标处。
出现如下图所示的数学输入面板对话框。
在数学面板上快速输入你要的公式,本示例如下。
写入你需要的公式后,点击“插入”按钮。就是在数学输入面板对话框上点击插入
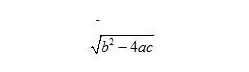
最后点击插入按钮后你所需要的公式就会出现在word文档中,如下图所示。
首先在word文档中依次点击插入—对象,以打开MathType数学公式编辑对话框。
然后点击“编辑”栏目下的“打开数学输入面板”选项,红框所标处。
出现如下图所示的数学输入面板对话框。
在数学面板上快速输入你要的公式,本示例如下。
写入你需要的公式后,点击“插入”按钮。就是在数学输入面板对话框上点击插入
最后点击插入按钮后你所需要的公式就会出现在word文档中,如下图所示。